En Çok Okunanlar
Özet
Amaç: Kırım-Kongo kanamalı ateşi (KKKA) ve akut brusellozun endemik olduğu bölgelerde, yüksek ateş nedeniyle acil servise başvuran ve lökopeni ile trombositopeni saptanan hastalarda tanısal bir ikilem ortaya çıkmaktadır. Bu çalışmada KKKA ve akut bruselloz olgularının klinik, epidemiyolojik ve laboratuvar özellikleri karşılaştırılarak benzerliklerin ve farklılıkların ortaya konulması; bu sayede, özellikle ilk değerlendirmeyi yapan klinisyenlere ayırıcı tanı sürecinde yol gösterilmesi amaçlandı.
Yöntemler: Haziran 2013–Haziran 2023 tarihleri arasında merkezimizde tanı almış KKKA ve akut bruselloz olguları retrospektif olarak değerlendirildi. Kırım-Kongo kanamalı ateşi tanısı RT-PCR testi ile doğrulanırken, akut bruselloz tanısı kan kültürü ve/veya serolojik testlerle konulmuştu. Her hastanın yalnızca ilk başvurusu çalışmaya dâhil edildi. Olguların demografik bilgileri, klinik ve laboratuvar bulguları hasta dosyalarından elde edildi.
Bulgular: Çalışmaya 88 KKKA ve 95 akut bruselloz hastası alındı. Yaş, cinsiyet, kırsal yaşam ve meslek gibi epidemiyolojik değişkenler açısından gruplar arasında anlamlı fark bulunmadı (p>0.05). Kırım-Kongo kanamalı ateşi hastalarında lökopeni, trombositopeni ve kreatin fosfokinaz (CPK), aspartat aminotransferaz (AST), alanin aminotransferaz (ALT) ve laktat dehidrogenaz (LDH) düzeylerinde anlamlı artışlar gözlendi (p<0.001). Akut bruselloz olgularında ise anemi, sedimantasyon hızı ve C-reaktif protein (CRP) düzeyleri daha yüksekti (p<0.001). Kreatin fosfokinaz için belirlenen 277 U/lt eşik değerinin üzerindeki ölçümler, Kırım-Kongo Kanamalı Ateşi (KKKA) tanısını öngörmede %88.64 duyarlılık ve %90.53 özgüllük sağladı (AUC=0.953). KKKA hastalarında konjonktival hiperemi, bulantı, kusma ve ishal daha sık; akut bruselloz hastalarında ise bel, kalça ve yaygın eklem ağrıları daha belirgin olarak gözlendi.
Sonuç: Akut bruselloz ve KKKA hastalarının ilk başvurusunda elde edilen bazı klinik ve laboratuvar bulguları, tanısal ayrımda klinisyene yol gösterici olabilir. Özellikle CPK düzeyinin bu iki hastalığın ayırt edilmesinde yüksek tanısal değer taşıdığı görüldü. Ülke genelini temsil edecek şekilde daha geniş örneklemlerle yapılacak çok merkezli çalışmalara ihtiyaç vardır.
GİRİŞ
Kırım-Kongo kanamalı ateşi (KKKA), dünyanın farklı bölgelerinde görülen ve kanama ile seyreden ateşli tablo nedeniyle yaşamı tehdit edebilen viral bir hastalıktır. Hastalık Orthonairovirus cinsi virusların neden olduğu ve Hyalomma cinsi keneler aracılığıyla bulaşan bir zoonozdur (1). Bu hastalık Asya, Avrupa ve Afrika’da 30’dan fazla ülkede rapor edilmiş olup bildirilen olgularda ölüm oranları %5.4–80 arasında değişmektedir (2).
Bruselloz ise Brucella cinsi bakterilerin neden olduğu, koyun, keçi, inek, manda, bufalo ve domuz gibi hayvanlardan bulaşabilen zoonotik bir infeksiyon hastalığıdır. İnsanlara çoğunlukla bu hayvanların kontamine süt ve süt ürünlerinin tüketimi yoluyla geçmektedir. Bir ila iki haftalık bir inkübasyon döneminin ardından yorgunluk, halsizlik, iştah azalması, kas ve eklem ağrıları ile subfebril ateş gibi nonspesifik semptomlarla seyretmektedir (3). Brusellozda semptomların başlangıç süresine göre akut, subakut, kronik ve nüks formlar tanımlanmış olup akut bruselloz semptomların sekiz haftadan kısa süredir mevcut olduğu durumu ifade etmektedir. Ayrıca, seropozitif bireylerde belirgin semptom bulunmaması subklinik/asemptomatik bruselloz olarak tanımlamaktadır (4,5).
Akut bruselloz ve KKKA; klinik, epidemiyolojik ve laboratuvar özellikleri açısından birbirine benzeyen zoonotik karakterli infeksiyon hastalıklarıdır. Genç ve orta yaştaki hayvan yetiştiricileri, veteriner hekimler ve kırsal alanda yaşayan çiftçiler her iki hastalık açısından risk grupları arasında yer almaktadır. Bruselloz yıl boyunca görülürken, KKKA’nın görülme sıklığı havaların sıcak ve kenelerin aktif olduğu ilkbahar ve yaz aylarında artmaktadır. Bu iki hastalık; yüksek ateş, halsizlik, kas ve eklem ağrıları, baş ağrısı, mide bulantısı, kusma, karaciğer enzim yüksekliği, lökopeni ve trombositopeni gibi ortak klinik ve laboratuvar bulgulara sahip olabilir. Bu nedenle, her iki hastalık klinik olarak birbirini taklit edebilmekte ve tanıda güçlükler yaşanabilmektedir.
Ribavirinin KKKA tedavisindeki etkinliği kesin olarak kanıtlanmamış olmakla birlikte; özellikle gebeler ve renal fonksiyonları sınırlı hastalar açısından olası riskleri nedeniyle, bu iki hastalığın erken evrede ayırt edilmesi büyük önem taşımaktadır (6). Ayrıca literatürde bu iki hastalığın aynı anda görüldüğü olgular da bildirilmiştir (7).
Bu çalışmada Kırım-Kongo Kanamalı Ateşi (KKKA) ve akut bruselloz olgularının klinik, epidemiyolojik ve laboratuvar özellikleri karşılaştırılarak benzerliklerin ve farklılıkların ortaya konulması amaçlandı. Çalışmamızın, her iki hastalığın da endemik olduğu bölgelerde yüksek ateş, lökopeni ve trombositopeni ile acil servise başvuran hastaların ilk değerlendirmelerinde klinisyenlere ayırıcı tanı açısından yol gösterici olacağı düşünülmektedir.
YÖNTEMLER
Retrospektif gözlemsel nitelikteki bu çalışmada, Haziran 2013 – Haziran 2023 tarihleri arasında merkezimizde tanısı kesinleştirilmiş ve tedavi edilmiş KKKA ve akut bruselloz olgularının dosyaları incelendi. Toplamda 95 akut brusell
oz ve 88 KKKA hastası çalışmaya dahil edildi.
Semptom süresi sekiz haftadan kısa olan, kan kültüründe Brucella spp. üreyen ve/veya standart tüp aglütinasyon (STA) ve Coombs STA testlerinden birinde 1/160 ve üzeri titrede pozitiflik gösteren hastalara akut bruselloz tanısı konulmuştu; KKKA tanısında ise gerçek zamanlı polimeraz zincir reaksiyonu (RT-PCR) testi kullanılmıştı. Değerlendirmeye her hastanın ilk başvurusu alınmış olup tekrarlayan başvurular ayrı bir olgu olarak kaydedilmedi. KKKA-PCR testleri Samsun Halk Sağlığı Laboratuvarı tarafından analiz edilmişti. Hastalara ait demografik veriler (yaş, cinsiyet, meslek, kırsal alanda yaşama), klinik belirtiler (yüksek ateş, kas ve eklem ağrıları, halsizlik, mide bulantısı, kusma, ishal, karın ağrısı, konjonktival hiperemi) ve laboratuvar verileri [KKKA-PCR, kan kültürü, Brucella STA, Coombs STA, beyaz küre sayısı, trombosit sayısı, hemoglobin, alanin aminotransferaz (ALT), aspartat aminotransferaz (AST), laktat dehidrogenaz (LDH), kreatin fosfokinaz (CPK), C-reaktif protein (CRP) ve eritrosit sedimantasyon hızı (ESH)] hasta dosyalarının geriye dönük olarak incelenmesi yoluyla elde edildi ve bulgular hasta çalışma formuna kaydedildi.
Çalışma için, Amasya Üniversitesi Girişimsel Olmayan Klinik Araştırmalar Etik Kurulu’ndan 23 Ekim 2023 tarihli ve E-76988455-050.01.04-156803 sayılı karar ile onay alındı.
İstatistiksel analiz
İstatistiksel analizler için SPSS 25.0 (SPSS Inc., Chicago, IL, ABD) yazılımı kullanıldı. Sayısal veriler için tanımlayıcı istatistikler medyan (min–mak.) olarak, kategorik veriler ise sayı (n) ve yüzde (%) olarak sunuldu. Verilerin normal dağılım göstermemesi nedeniyle grup karşılaştırmalarında Mann-Whitney U testi uygulandı. Kategorik değişkenlerin karşılaştırılmasında Pearson ki-kare testi kullanıldı. İstatistiksel olarak anlamlı fark saptanan parametrelerde, eşik değeri (cut-off), eğri altında kalan alan (Area Under the Curve, AUC), duyarlılık ve özgüllüğü belirlemek amacıyla “receiver operating characteristic” (ROC) eğrisi analizi yapıldı. Bu sayede KKKA ve akut bruselloz ayırıcı tanısında kullanılabilecek laboratuvar parametrelerinin tanısal performansları değerlendirildi. Tüm analizlerde p<0.05 değeri istatistiksel olarak anlamlı kabul edildi.
BULGULAR
Çalışmaya 88 KKKA ve 95 akut bruselloz hastası dahil edildi. Bruselloz grubundaki 95 olgunun 58’ine kan kültürü çalışması yapılmış olup bu hastalardan 32 (55.17)’sinde kültür pozitifliği saptanmıştı. Kan kültürü yapılan hastaların ilk başvurusunda bruselloz tanısı bulunmamaktaydı; bu hastalar ateş etiyolojisinin araştırılması amacıyla yatırılarak değerlendirilmişti. Kan kültürü yapılmayan hastalar ise, dış merkezlerde yapılan ve bruselloz tanısını destekleyen serolojik testleri pozitif olan, polikliniğimize sevk edilen ve ayaktan izlenen hastalardı. Bu nedenle bu gruba kan kültürü çalışması uygulanmamıştı.
Sadece kan kültür çalışması yapılan hastalar arasında, STA pozitifliği ile birlikte kan kültür pozitifliği 30 (%51.7) hastada görülmüştü. Genel hasta grubunda STA testi pozitiflik oranı ise 67 hasta ile %70.52 olarak tespit edildi. Rose-Bengal testinde pozitiflik oranı 88 hasta ile %92.63 idi. Beş hastada STA titresi 1/160 altı bulunmasına rağmen, kan kültüründe Brucella spp. üremesi ile tanı doğrulanmıştı. Ayrıca STA titresi <1/160 olan 23 hastanın Coombs-STA testleri 1/160 ve üzeri pozitiflik göstermişti.
Yaş ortalaması KKKA grubunda 46.14 yıl, akut bruselloz grubunda ise 44.21 yıl olarak hesaplandı. Erken cinsiyet oranı KKKA grubunda %54.5 ve akut bruselloz grubunda %61.05 idi. Yaş, cinsiyet, kırsal yaşam ve hayvancılıkla uğraşma gibi epidemiyolojik değişkenler açısından gruplar arasında anlamlı düzeyde fark saptanmadı (p>0.05).
Bel ağrısı yakınması akut bruselloz olgularında KKKA olgularına göre istatistiksel olarak anlamlı derecede yüksekti (p=0.001). Kalça eklemi ve diğer eklem ağrıları açısından yapılan karşılaştırmalarda da bu belirtilerin bruselloz grubunda KKKA grubuna kıyasla istatistiksel olarak daha yüksek olduğu saptandı (p<0.0001). Öte yandan, bulantı, kusma, ishal ve konjonktival hiperemi semptomları KKKA grubunda daha yaygındı (p<0.0001).

Tablo 1. Akut Bruselloz ve KKKA Hastalarının Demografik, Klinik ve Laboratuvar Özelliklerinin Karşılaştırılması
Şikayetlerin başlangıcından itibaren hastaneye başvuru süresi KKKA olgularında ortalama 3.65 ± 1.8 gün iken akut bruselloz olgularında bu süre 11.7 ± 6.5 gün olarak tespit edildi; hastaneye başvuru süreleri açısından gruplar arasındaki fark istatistiksel olarak anlamlı düzeyde idi (p<0.001) (Tablo 1).

Tablo 2. Akut Bruselloz ve KKKA Hastalarına Ait Rutin Laboratuvar Parametrelerinin Karşılaştırılması
Laboratuvar bulguları incelendiğinde, hastaneye başvuru sırasında beyaz küre sayısının KKKA olgularında medyan değeri 2254/mm3, akut bruselloz olgularında ise 7672 /mm3 olduğu görüldü. Trombosit sayısının medyan değeri KKKA grubunda 83 677 /mm3, akut bruselloz grubunda ise 186 331 /mm3 idi. Beyaz küre ve trombosit sayıları KKKA hastalarında anlamlı düzeyde daha düşük bulundu (p<0.0001). ALT medyan değeri KKKA grubunda 114.72 U/lt, akut bruselloz grubunda 74.44 U/lt; LDH medyan değeri KKKA grubunda 455.76 IU/lt, akut bruselloz grubunda 154.86 U/lt; CPK medyan değeri KKKA grubunda 466.32 U/lt, bruselloz grubunda 68.61 U/lt idi. AST, LDH ve CPK düzeyleri KKKA grubunda istatistiksel olarak anlamlı derecede daha yüksek bulundu (p<0.0001); ALT düzeyi için bu fark p=0.007 olarak belirlendi. Gruplar CRP ve ESH değerleri açısından karşılaştırıldığında akut bruselloz olgularında bu parametrelerin anlamlı düzeyde daha yüksek olduğu tespit edildi (p<0.0001) (Tablo 2).

Tablo 3. Akut Bruselloz ve KKKA Hastalarının Başvuru Anında Elde Edilen Biyokimyasal Parametrelerinin ROC Analizi

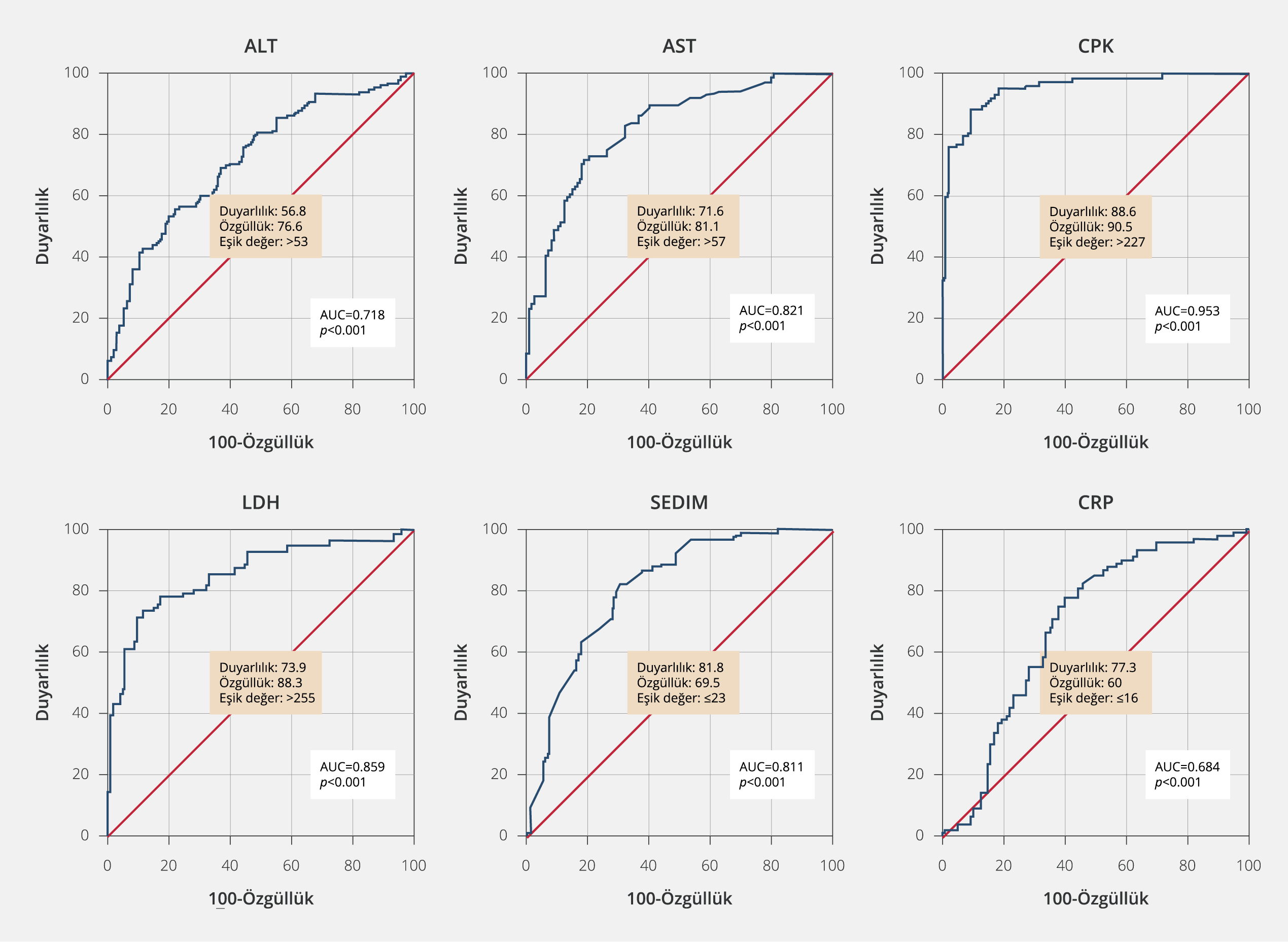
Şekil 1. KKKA ve Akut Bruselloz Hastalarında ALT, AST, LDH, CPK, Sedimantasyon Hızı ve CRP Parametrelerine Ait ROC Eğrileri
Hastaneye ilk başvuru anında ölçülen biyokimyasal parametrelere ait ROC eğrisi analiz sonuçları Tablo 3 ve Şekil 1’de sunuldu. Akut bruselloz ve KKKA hastaları arasında CPK için ROC eğrisi altında kalan alan (AUC) 0.953 olarak hesaplandı; CPK için belirlenen eşik değer 277 U/lt olup bu değerin üzerindeki ölçümler KKKA’yı göstermede %88 duyarlılık ve %90 özgüllüğe sahipti. Eritrosit sedimantasyon hızı için yapılan ROC analizinde, 23 mm/saat kesim değeri ile AUC 0.811 bulundu. Bu değerin üzerindeki ölçümler akut brusellozu göstermede %81 duyarlılık ve %69 özgüllüğe sahipti. LDH için yapılan analizde ise 255 U/lt kesim değeri ile AUC 0.859 olarak saptandı; bu değerin üzerindeki ölçümler KKKA’yı göstermede %74 duyarlılık ve %88 özgüllük ile anlamlı bulundu.

Tablo 4. KKKA Ön Tanısıyla Yatırılan ve Sonradan Akut Bruselloz Tanısı Alan 4 Hastanın Demografik ve Laboratuvar Özellikleri
Çalışma sürecinde, KKKA ön tanısı ile yatırılan ve tedavi edilen ancak daha sonra akut bruselloz tanısı konulan dört olgu tespit edildi. Bu hastaların tümü; son 14 gün içinde kene tutunma öyküsü bulunan, ateş yakınması ile başvuran, başvuru anında bisitopeni (lökopeni ve trombositopeni) saptanan ve KKKA-PCR test sonucu negatif, bruselloz serolojisi pozitif olan hastalardı. Bu dört hastanın demografik ve laboratuvar özellikleri Tablo 4’te sunuldu.
İRDELEME
Demografik, klinik ve laboratuvar özellikler açısından KKKA ve akut bruselloz hastalıkları benzerlik göstermekle birlikte klinik seyir ve tedavi yaklaşımları birbirinden farklıdır. Her iki hastalık için endemik bölgelerde, özellikle acil servislerde hasta ile ilk karşılaşmada tanısal ikilem yaşanabilmektedir. Öyle ki, bu iki hastalığın benzer özelliklerinden dolayı hastalara yanlış tanı konabilmektedir (6-8).
Çalışmamızda KKKA ile akut bruselloz olgularının klinik, epidemiyolojik ve laboratuvar özellikleri karşılaştırıldı. Kene teması KKKA hastalığında ana bulaşma yolu olup olgu fatalite oranı %5.4–80 arasında değişmektedir (7). Olgu serimizde KKKA hastalarının olgu fatalite oranı %3.4 olarak tespit edildi. Diğer yanda, bruselloz hastalığının insanlara bulaşma yollarının başında pastörize edilmemiş süt ve süt ürünü tüketimi ile birlikte infekte hayvanın salgılarıyla doğrudan temas gelmektedir. Bruselloz hastalığında olgu fatalite oranının %1’in altında olduğu bildirilmiştir (9). Çalışmamızda bruselloz grubunun olgu fatalite oranı %0 idi.
Kırım-Kongo kanamalı ateşi hastalarında muhtemel bulaşma yolunun kene teması olma oranı %71 olarak bildirilmiştir (10). Çalışmamızda KKKA hastalarında kene teması oranı %59.1 olup yüksek ateş, bisitopeni (lökopeni ve trombositopeni) ve kene tutunma öyküsü ile başvurup KKKA-PCR testi negatif gelen, ancak bruselloza ait serolojik testleri pozitif olan dört hasta saptandı. Bu sonuç, kene temas öyküsünün olmamasının KKKA’yı dışlamadığı gibi, kene temasının varlığının bruselloz ihtimalini ekarte etmeyeceğini de göstermektedir
Kırım-Kongo kanamalı ateşi hastalığının tanısında en sık kullanılan yöntem RT-PCR testi olup yöntemin duyarlılığı %100, özgüllüğü ise %97 olarak bildirilmiştir (11). Çalışmamızda tüm KKKA olgularının tanısının RT-PCR testi ile konulduğu tespit edildi.
Brusellozda ise altın standart tanı yöntemi kan kültürü ile bakterinin izolasyonudur; ancak serolojik testler ve nükleik asit amplifikasyon testleri de tanıda kullanılmaktadır. Modern otomatik kan kültürü sistemleri, klinik mikrobiyoloji laboratuvarlarında kullanılan rutin 5 ila 7 günlük inkübasyon protokolü kapsamında akut bruselloz olgularının tespitini mümkün kılmaktadır. Ancak, kronikleşmiş olgular için daha uzun bir inkübasyon süresi gerekebilir. Serolojik testler, özgüllükten yoksun olmalarına ve Brucella etkenine tekrar tekrar maruz kalan kişilerde yorumlanması zor sonuçlar verebilmelerine rağmen, kaynak açısından sınırlı ülkelerde tanısal süreçte temel araç olmaya devam etmektedir. Bruselloz için kullanılan serolojik tanı testleri genellikle tek başına ya da diğer serolojik testlerle kombine biçimde elde edilen sonuçların karşılaştırılması yoluyla değerlendirilir. Serolojik testlerin performansı; kullanılan dahil etme kriterlerinin, “cut-off” değerlerinin ve uygulanan ticari ya da kurum içi testlerin çeşitliliği nedeniyle değişkenlik göstermektedir. Bu nedenle, sonuçlar sıklıkla tutarsızdır ve bireysel serolojik tanı testlerinin performansına ilişkin kesin bir yargıya varmak çoğu zaman mümkün değildir.
Nükleik asit amplifikasyon testleri, yüksek duyarlılık ve özgüllükleri sayesinde hızlı ve güvenilir tanı sağlamakla birlikte bazı infeksiyonlarda, klinik iyileşme sonrası testlerin uzun süre pozitif kalması, kalıntı genetik materyalin tespitiyle ilişkili olabilir. Bu nedenle, sonuçlar hastanın klinik durumu ve diğer tanısal yöntemlerle birlikte değerlendirilmelidir. Farklı PCR analizlerinin laboratuvarlar arası tekrarlanabilirliğini gösteren yeterli düzeyde doğrulanmış ticari testlerin veya çalışmaların olmaması nedeniyle kültür yöntemleri ve serolojik testler, insan brusellozunun tanısı ve tedavi sonrası izleminde hâlen birincil yöntemlerdir (12). Al Dahouk ve arkadaşlarının (13) yaptığı çalışmada, STA testlerinin güvenilir olduğu ve %60–90 oranında duyarlılık ve %100 oranında özgüllüğe sahip olduğu ancak bu oranların klinik evrelere göre değişebileceği bildirilmiş ve testin akut bruselloz semptomları olan hastaların taranmasında uygun bir yöntem olduğu vurgulanmıştır. Uysal ve arkadaşlarının (14) çalışmasında, akut bruselloz olgularında STA testi pozitiflik oranı %24.4 ve duyarlılık %57 olarak bildirilmiştir. Çalışmamızda akut bruselloz olgularında STA pozitiflik oranı %70.52 olup sonuçlarımız literatürle uyumludur.
Akut bruselloz olgularında kan kültür pozitiflik oranları ile ilgili olarak literatürde farklı sonuçlar bildirilmiştir. Gaifer ve arkadaşlarının (15) çalışmasında, akut bruselloz olgularında kan kültür pozitiflik oranının %42; bir başka çalışmada ise %53 olarak bildirilmiştir (16). Bu sonuçlarla benzer şekilde çalışmamızda da akut bruselloz olgularında kan kültür pozitiflik oranı %55.17 olarak tespit edildi.
Bruselloz ve KKKA, kırsal kesimde yaşayan, çiftçilik ve hayvancılıkla uğraşan, üretime katkı ve üretkenlik çağındaki erişkin bireyleri daha çok etkileyen zoonotik hastalıklardır (6,17). Çalışmamızda her iki hasta grubundaki bireylerin büyük çoğunluğunun kırsal bölgelerde yaşadığı ve genellikle hayvancılık ve çiftçilikle geçimini sağladığı görüldü. Hasta gruplarının sağlık kuruluşlarına başvurularındaki semptomlar karşılaştırıldığında; ateş yüksekliği, terleme, baş ağrısı, halsizlik, kas ağrısı ve karın ağrısı semptomlarının her iki grupta da istatistiksel olarak benzer oranlarda olduğu tespit edildi. Öte yanda, bulantı, kusma, ishal ve konjonktival hiperemi semptomları KKKA grubunda; bel ağrısı, kalça eklemi ağrısı ve yaygın eklem ağrısı yakınmaları ise bruselloz grubunda istatistiksel olarak anlamlı derecede daha yüksekti. Özellikle skleral konjesyon ve konjonktivit, KKKA’nin prehemorajik fazında sık karşılaşılan fizik muayene bulgularıdır (18). Bu sonuçlar, yaygın eklem ağrılarının, bulantının, kusmanın, ishalin ve konjonktival hipereminin, hastanın ilk değerlendirmesinde iki zoonozu birbirinden ayırt etmede yararlanılabilecek parametreler olarak kabul edilebilir.
Çalışmamızda dikkat çeken bir diğer bulgu ise semptomların başlangıcından itibaren hastaneye başvuruya kadar geçen süredir. Bu süre KKKA hastalarında akut bruselloza kıyasla oldukça kısadır. Hastaneye başvuru süresinin KKKA’da daha kısa olması; hastalığın akut başlangıçlı olmasına, ateşin sürekliliğine ve bulantı-kusma gibi hastayı hastaneye yönlendiren semptomların daha yoğun olarak gözlenmesine bağlanabilir. Diğer yanda KKKA’da kene temas öyküsü olması ve bu hastalığın medyada sık sık yer alması halkın farkındalığını artırmış olabilir. Ayrıca endemik bölgelerde görev yapan hekimlerin KKKA’yı daha kolay akla getirmesi ve hızlı tanı koyabilmesi de bu süreyi kısaltan diğer bir önemli etmendir.
Brusellozun ise genellikle hafif-orta şiddette semptomlarla seyretmesi, hastaların başvuru süresini uzatıyor olabilir. Brusellozda hematolojik bulgular oldukça değişkendir. Yapılan bir meta-analizde, lökopeni %24.1, trombositopeni %15.8, anemi %23.9 ve pansitopeni %13.2 oranlarında bildirilmiştir (19). Öte yandan, ülkemizde yapılan çeşitli çalışmalar, KKKA hastalarında hematolojik parametrelerde daha belirgin değişiklikler olduğunu göstermektedir. Örneğin yakın tarihli bir çalışmada, KKKA hastalığı için lökopeninin %81.5, trombositopeninin % 77.7 oranlarında olduğu ve anemide kontrol grubuna göre istatistiksel bir farklılık bulunmadığı bildirilmiştir (20). Yine ülkemizdeki bir olgu serisinde, KKKA hastalarında trombositopeni %90.1, lökopeni %88.2 ve anemi %13.2 oranlarında bildirilmiştir (21). Demir ve arkadaşlarının (22) pediatrik yaş grubundaki KKKA hastaları ile yaptıkları çalışmada, başvuruda tespit edilen lökopeni oranı %70.8 ve trombositopeni oranı %80.6 olarak raporlanmıştır (22). Çalışmamızda, KKKA hastalarında lökopeni ve trombositopeninin daha sık ve daha derin seyrettiği, aneminin ise akut bruselloz olgularında daha yaygın olduğu tespit edildi. Lökositoz ve pansitopeni her iki grupta da düşük oranlarda görülmüş olup oranlar arasında istatistiksel bir fark yoktu. Kanamasız fazda olan KKKA hastalarında anemiye rastlanmadı. Bu bulgu, kanama belirtisi olmayan bir hastada saptanan aneminin KKKA lehine tanımlayıcı bir özellik olmadığını göstermektedir.
Karaciğer tutulumunun brusellozda %50’lerde olduğu; karaciğer dokusunun histopatolojik incelemelerinde inflamasyon ve granülom varlığı gösterilirken, hepatosit nekrozunun minimal düzeyde kaldığı bildirilmiştir (23). Kırım-Kongo kanamalı ateşinde ise hepatik tutulum oranının %85.92 olduğu, bu tutulumun patogenezinde virusun hem doğrudan hem de dolaylı yoldan endotel hücrelerine sitopatik etkisiyle hepatosit nekrozuna neden olduğu bildirilmiştir (24,25). Çalışmamızda grupların karaciğer enzimleri karşılaştırıldığında; KKKA hastalarının değerlerinin istatistiksel olarak anlamlı düzeyde yüksek olduğu görüldü. Elde edilen sonuçlar, AST ve ALT düzeylerindeki yükselmenin şiddetinin, akut bruselloz ile KKKA’nın ayırt edilmesinde yararlı bir parametre olabileceğini göstermektedir. Parlak ve arkadaşlarının (26) yaptığı çalışmada, bruselloz olgularında LDH, CRP ve ESH’de artış oranları sırasıyla %63, %59 ve %55 olarak bildirilmiştir. Bir diğer çalışmada, KKKA hastalarında LDH %77 oranıyla yüksek olarak raporlanmıştır (20). C-reaktif protein yüksekliğinin KKKA prognozuyla ilişkilendirildiği çalışmalara ek olarak, akut faz reaktanlarının sağlıklı kontrol grubuna göre anlamlı olarak daha yüksek düzeylerde ölçüldüğünü bildiren çalışmalar da mevcuttur (27,28). Çalışmamızda KKKA hastalarında daha yüksek LDH düzeyleri tespit edilirken, ESH ve CRP değerleri akut bruselloz olgularında daha yüksek ölçülmüştü. Kırım- Kongo kanamalı ateşi hastalığında CPK düzeyleri yükselmekle birlikte brusellozda bu enzimin yüksek seyrettiğine dair bir literatür verisi bulunmamaktadır. Kalp dokusunda, iskelet kaslarında ve beyinde bulunan CPK enzimi, kas yaralanması durumunda kan dolaşımına sızar; bu nedenle, kas hasarının bir göstergesidir (29). Farklı çalışmalarda KKKA hastalarında CPK enzim düzeylerinin oldukça yüksek olduğu gösterilmiştir. Arslan ve arkadaşlarının (30) çalışmasında %76.1 olarak bildirilen bu oran Gürbüz ve arkadaşlarının (20) çalışmasında %76.8’dir. Çok sayıda çalışmada, KKKA hastalığının ölümle sonuçlandığı durumlarda CPK düzeylerinin yüksek olduğu bildirilmiştir (31,32). Çalışmamızda KKKA grubunda CPK yüksekliği oranı %86.4’tür; KKKA hastalığında gözlenen CPK yüksekliğinin patogenezi aydınlatılmaya muhtaç bir konu olarak dikkati çekmektedir. Çalışmamızda yer alan akut bruselloz grubunda ise CPK düzeyinde yükselme tespit edilmedi.
Hastanın ilk değerlendirilmesinde, KKKA-akut bruselloz ayırıcı tanısı açısından bir ikilem yaşanması durumunda, bazı klinik belirtiler ve laboratuvar bulgularından yararlanılarak bu iki hastalık birbirinden ayırt edilebilir. Çalışmamızda elde edilen veriler, klinik belirtilerin dağılımı, laboratuvar parametrelerdeki farklılıklar ve epidemiyolojik özelliklerin dikkate alınmasıyla KKKA ve akut brusellozun ayırıcı tanısında yol gösterici olabilecek niteliktedir. Ancak bu konuda çok merkezli, olgu sayılarının daha yüksek olduğu ve ülke genelini içerecek düzeyde verilerin analiz edildiği klinik çalışmalara ihtiyaç duyulmaktadır.
Hasta Onamı
Veriler retrospektif olarak değerlendirildiği için hasta onamı alınmamıştır.
Etik Kurul Kararı
Çalışma için, Amasya Üniversitesi Girişimsel Olmayan Klinik Araştırmalar Etik Kurulu’ndan 23 Ekim 2023 tarihli ve E-76988455-050.01.04-156803 sayılı karar ile onay alınmıştır.
Danışman Değerlendirmesi
Bağımsız dış danışman
Yazar Katkıları
Fikir/Kavram – M.A.; Tasarım – M.A.; Denetleme – M.A.; Kaynak ve Fon Sağlama – M.A., Ş.Ç.; Malzemeler/Hastalar – M.A., Ş.Ç.; Veri Toplama ve/veya İşleme – M.A., Ş.Ç.; Analiz ve/veya Yorum – M.A., Ş.Ç.; Literatür Taraması – M.A., Ş.Ç.; Makale Yazımı – M.A., Ş.Ç.; Eleştirel İnceleme – M.A., Ş.Ç.
Çıkar Çatışması
Yazarlar herhangi bir çıkar çatışması bildirmemiştir.
Finansal Destek
Yazar finansal destek beyan etmemiştir.
Teşekkür
Bu yazının hazırlanmasında sağladığı akademik katkılar için Prof. Dr. Gürdal Yılmaz’a teşekkür ederiz.
Referanslar
- Rekik S, Hammami I, Timoumi O, et al. A review on Crimean-Congo hemorrhagic fever infections in Tunisia. Vector Borne Zoonotic Dis. 2024;24(6):325-37. [CrossRef]
- Eslava M, Carlos S, Reina G. Crimean-Congo hemorrhagic fever virus: An emerging threat in Europe with a focus on epidemiology in Spain. Pathogens. 2024;13(9):770. [CrossRef]
- Dean AS, Crump L, Greter H, Hattendorf J, Schelling E, Zinsstag J. Clinical manifestations of human brucellosis: a systematic review and meta-analysis. PLoS Negl Trop Dis. 2012;6(12):e1929. [CrossRef]
- Amjadi O, Rafiei A, Mardani M, Zafari P, Zarifian A. A review of the immunopathogenesis of brucellosis. Infect Dis (Lond). 2019;51(5):321-33. [CrossRef]
- Qie C, Cui J, Liu Y, Li Y, Wu H, Mi Y. Epidemiological and clinical characteristics of bacteremic brucellosis. J Int Med Res. 2020;48(7):300060520936829. [CrossRef]
- Heydari AA. Acute complicated brucellosis mimicking Crimean-Congo hemorrhagic fever (CCHF) and vice versa. J Med Microbiol. 2019;7(1-2):1-5. [CrossRef]
- Duygu F, Sari T, Kaya T, Bulut N. Brucellosis in patients with Crimean-Congo hemorrhagic fever. J Arthropod Borne Dis. 2017;11(4):463-8.
- Almiş H, Yakıncı C. [A case of brucellosis misdiagnosed as Crimean-Congo hemorrhagic fever]. Mikrobiyol Bul. 2012;46(3):475-9. Turkish.
- Metin O, Teke TA, Gayretli Aydin ZG, et al. A case of brucellosis mimicking Crimean-Congo hemorrhagic fever. J Infect Public Health. 2015;8(3):302-4. [CrossRef]
- Yilmaz GR, Buzgan T, Torunoglu MA, et al. A preliminary report on Crimean-Congo haemorrhagic fever in Turkey, March – June 2008. Euro Surveill. 2008;13(33):18953. [CrossRef]
- Jääskeläinen AJ, Kallio-Kokko H, Ozkul A, et al. Development and evaluation of a real-time RT-qPCR for detection of Crimean-Congo hemorrhagic fever virus representing different genotypes. Vector Borne Zoonotic Dis. 2014;14(12):870-2. [CrossRef]
- Yagupsky P, Morata P, Colmenero JD. Laboratory diagnosis of human brucellosis. Clin Microbiol Rev. 2019;33(1):e00073-19. [CrossRef]
- Al Dahouk S, Tomaso H, Nöckler K, Neubauer H, Frangoulidis D. Laboratory-based diagnosis of brucellosis–a review of the literature. Part II: serological tests for brucellosis. Clin Lab. 2003;49(11-12):577-89.
- Uysal B, Mumcu N, Yıldız O, Aygen B. [Comparison of the methods used in the diagnosis of brucellosis]. Klimik Derg. 2021;34(3):164-73. Turkish. [CrossRef]
- Gaifer Z, Ali MEM, AlJehani BH, Shaikh HA, Hussein SB. Risk factors, outcomes and time to detect positive blood culture among cases with acute brucellosis. Trans R Soc Trop Med Hyg. 2022;116(2):133-8. [CrossRef]
- Shi Y, Gao H, Pappas G, et al. Clinical features of 2041 human brucellosis cases in China. PLoS One. 2018;13(11):e0205500. Erratum in: PLoS One. 2019;14(1):e0211102. Erratum in: PLoS One. 2019;14(3):e0213558. Erratum in: PLoS One. 2019;14(6):e0219110. [CrossRef]
- Mourya DT, Viswanathan R, Jadhav SK, Yadav PD, Basu A, Chadha MS. Retrospective analysis of clinical information in Crimean-Congo haemorrhagic fever patients: 2014-2015, India. Indian J Med Res. 2017;145(5):673-8. [CrossRef]
- Fillâtre P, Revest M, Tattevin P. Crimean-Congo hemorrhagic fever: An update. Med Mal Infect. 2019;49(8):574-85. Erratum in: Med Mal Infect. 2020;50(1):
95-6. [CrossRef] - Zheng R, Xie S, Lu X, et al. A Systematic review and meta-analysis of epidemiology and clinical manifestations of human brucellosis in China. Biomed Res Int. 2018;2018:5712920. [CrossRef]
- Gürbüz E, Ekici A, Ünlü AH, Yılmaz H. Evaluation of seroprevalence and clinical and laboratory findings of patients admitted to health institutions in Gümüşhane with suspicion of Crimean-Congo hemorrhagic fever. Turk J Med Sci. 2021;51(4):1825-32. [CrossRef]
- Arslan M, Yılmaz G. [Investigation of hematological changes in patients with Crimean-Congo hemorrhagic fever]. GUJHS. 2023;12(2):437-42. Turkish. [CrossRef]
- Demir M, Duksal F, Doğan MT, et al. [Immunological evaluation of children with Crimean-Congo hemorrhagic fever in addition to routine clinical and laboratory tests who were admitted to Sivas, Cumhuriyet University]. J Curr Pediatr. 2015;13(1):13-20. Turkish. [CrossRef]
- Giambartolomei GH, Delpino MV. Immunopathogenesis of hepatic brucellosis. Front Cell Infect Microbiol. 2019;9:423. [CrossRef]
- Ergönül O. Crimean-Congo haemorrhagic fever. Lancet Infect Dis. 2006;6(4):203-14. [CrossRef]
- Arslan M, Yilmaz G, Mentese A, Yilmaz H, Karahan SC, Koksal I. Importance of endothelial dysfunction biomarkers in patients with Crimean-Congo hemorrhagic fever. J Med Virol. 2017;89(12):2084-91. [CrossRef]
- Parlak M, Akbayram S, Doğan M, et al. Clinical manifestations and laboratory findings of 496 children with brucellosis in Van, Turkey. Pediatr Int. 2015;57(4):586-9. [CrossRef]
- Yilmaz G, Koksal I, Topbas M, Yilmaz H, Aksoy F. The effectiveness of routine laboratory findings in determining disease severity in patients with Crimean-Congo hemorrhagic fever: severity prediction criteria. J Clin Virol. 2010;47(4):361-5. [CrossRef]
- Sari I, Bakir S, Engin A, Aydin H, Poyraz O. Some acute phase reactants and cholesterol levels in serum of patient with Crimean-Congo haemorrhagic fever. Bosn J Basic Med Sci. 2013;13(1):21-6. [CrossRef]
- Kitzenberg D, Colgan SP, Glover LE. Creatine kinase in ischemic and inflammatory disorders. Clin Transl Med. 2016;5(1):31. [CrossRef]
- Arslan M, Comoglu S. Evaluation of epidemiological, clinical, laboratory and treatment characteristics of Crimen Congo hemorrhagic fever patients: Results of a 10-year analysis. North Clin Istanb. 2024;11(3):177-83. [CrossRef]
- Hatipoglu CA, Bulut C, Yetkin MA, et al. Evaluation of clinical and laboratory predictors of fatality in patients with Crimean-Congo haemorrhagic fever in a tertiary care hospital in Turkey. Scand J Infect Dis. 2010;42(6-7):516-21. [CrossRef]
- Cevik MA, Erbay A, Bodur H, et al. Clinical and laboratory features of Crimean-Congo hemorrhagic fever: predictors of fatality. Int J Infect Dis. 2008;12(4):374-9. [CrossRef]